序章
(1)どのような先行研究があるかに関しては、〔上 野(1994:pp.223-225)〕を参照のこと。

第1章
(2)『NHK年鑑』昭和43(1968)年 版, p.458

(3)『ラジオ年鑑』昭和23(1948)年 版, p.75

(4)例えば、昭和25(1950)年において は、 東京中央放送局が編成して放送した番組のうち、25.4%が西洋音楽であるが、日本音楽は3.9%を占 めている。(浪花節は演芸の10.5%の中に含まれている。)(『NHKラジオ年鑑』昭和26(1951)年版)また、邦楽と浪花節の聴取率に関しては、 昭和23(1948)年10月の調査で、NHK第一放送の夜間番組全56種目中、「浪花節・講談」が5位、「民謡・俗曲」が10位、「邦楽」が27位と、 特に浪花節の聴取率が高いことが分かる。〔井上(1949)〕

(5)(4)と同じく昭和23(1948)年 10月 の調査では、年齢別比較によると、「浪花節・講談」は51歳以上で1位、41~50歳で2位、 31~40歳で5位、26~30歳で7位、20~25歳で8位、19歳以下はベストテンの圏外になっている。「民謡・俗曲」は51歳以上で7位、 41~50歳で8位、31~40歳で8位、30歳以下はベストテンの圏外となっている。〔井上(1949)〕「邦楽」に関しては、どの年齢層もベストテン に入っていないので、この調査からは詳しくは分からないが、別の調査によると、「西洋音楽」や「軽音楽・歌謡曲」とは対照的に、「日本音楽」は年長者ほど 愛好者が多く、年少者になるほど少なくなっている結果が、以下の図9のようにはっきりと出ている。〔鈴木(1954)〕
図9

(6)本稿で扱う「なつメロ」は、「過去のある 特定 の時点を人々に想起させる存在」であることを前提としているが、その根拠は、昭和20年代 (1945~1954年)以来の「なつメロ」に言及している記述において、「なつメロ」を媒体として過去を振り返るということを行っているものが多いから である。以下にその例をいくつか引用する。

 昨今の歌謡界で目立つ一つの傾向として、“なつメロ”ブームがあげられる。(中略)
 俗に“十年ひと昔”といわれているように、“なつメロ”を一応、現時点からさかのぼって十年以前の歌に限定し、<なつかしのメロディ―>の放送十年の間 の歌の流れ、社会情勢の動きにスポットを当ててみよう――。
 <なつかしのメロディ―>の始まった二十四年には、社会的には国鉄の大量首切りが行なわれ、「下山事件」「三鷹事件」「松川事件」が相ついで起こり、 (中略)この年に流行したのが藤山一郎の「青い山脈」「長崎の鐘」、高峰秀子の「銀座カンカン娘」など。(中略)
 翌三十年から三十一年にかけては、いわゆる神武景気。若者たちの間には“マンボ”が流行、“慎太郎刈り”の“太陽族”が“マンボ”にうつつを抜かす一 方、砂川をはじめ全国の基地には反対闘争が盛り上がった。(中略)
 三十五年は安保騒動の年。警官隊と乱闘を繰り返す全学連の勇名が世界にとどろく中で、「有難やぶし」が歌われた。同じ年、橋幸夫が「潮来笠」でデビュー した。(後略)(丸山鐵雄「“なつメロ”10年歌の流れ」,『グラフNHK』昭和45(1970)年8月1日号)

 ことしの<思い出のメロディー>は年代を昭和二十年から四十年と、戦後二十年の思い出の歌をつづる。この間のおもなヒット曲を 拾いながら、当時の世相のうつり変わりをみてみよう――
 昭和20年(一九四五年)
☆「お山の杉の子」「リンゴの唄」
★戦争がいよいよ激化し、妊婦と幼児の集団疎開が行なわれ、タバコの配給が一日五本から三本に。八月六日広島に、九日長崎に原爆投下される。同月十五日終 戦。天気予報の放送三年半ぶりに復活。宝くじが売り出された。
 昭和21年
☆「三日月娘」「悲しき竹笛」「啼くな小鳩よ」
★たけのこ生活の中で新円交換が実施され、その一方でヤミ成金が続出、かつぎ屋も出現した。婦人警官誕生。
 昭和22年
☆「異国の丘」「港が見える丘」「雨のオランダ坂」「夜ふけの街」「夜霧のブルース」「さらば赤城よ」「山小屋の灯」「夜のプラットホーム」
★インフレが続いた。このころから新興宗教が続出。赤い羽根運動がはじまった。六・三制の新学制発足。(以下後略)(「歌謡風俗年表」,『グラフNHK』 昭和46(1971)年8月1日号,p.8)
  
昭和四年(一九二九年)
  モボとモガの銀ブラ
 モダンボーイ(モボ)やモダンガール(モガ)が流行の洋服で、銀座や大阪の心斎橋筋を歩いた。
“銀ブラ”という言葉ができたのはこのころ、そしてこの風俗を歌ったのが、東京行進曲で、そのレコードの裏面が「紅屋の娘」だった。
「洒落男」も“銀ブラ”にあこがれた田舎のモボが、イッパイ食う歌だ。
昭和六年(一九三一年)
藤山一郎がデビュー
 古賀政男が作曲家として注目をあびた。「酒は涙か溜息か」を歌った無名の新人、藤山一郎は、当時東京音楽学校の生徒だったが、この一曲で流行歌のスター になった。
昭和七年(一九三二年)
“満州事変”の拡大

 オペラ歌手として有名な藤原義江は、それまで「波浮の港」や「出船」で、独特の“藤原節”を、きかせていたが“満州事変”の開戦とともに感激、自ら「討 匪行」を作曲した。また「肉弾三勇士の歌」は、毎日新聞が三勇士をたたえるために募集したのに応募し、一等になった与謝野寛の作詞である。その妻・与謝野 晶子が「君、死にたもうことなかれ」と歌っているのと対照的。(以下後略)(「第4部 生きていた想い出の歌謡曲 歌は世につれ世は歌につれ ◆ヒット曲 とエピソードで綴る昭和風俗史◆」,『週刊TVガイド』昭和45(1970)年8月7日号,pp.50-54)

(7)昭和24(1949)年9月17日から昭 和 25(1950)年3月25日までは20時半から30分間、昭和25(1950)年4月1日から昭和26 (1951)年12月29日までは20時半から45分間、昭和27(1952)年1月5日から昭和35(1960)年4月2日までは20時から30分間の 放送となっている。

(8)昭和20年代(1945~1954年)当 時、 最も人気の高かった音楽番組である「今週の明星」は、「なつかしのメロディー」に対して、毎週日曜日 19時半から30分間放送していた。

(9)「なつかしのメロディー」の聴取率の推移 は以 下の通りである。昭和25(1950)年度の全聴取者の聴取率は、夏季が40%以上50%未満、秋季が 50%以上60%未満、冬季が60%以上。(『NHKラジオ年鑑』昭和26(1951)年版,p.255)昭和26(1951)年度は、夏季が56%、冬 季が59%。((『NHKラジオ年鑑』昭和28(1953)年版,p.287)昭和27(1952)年度は、夏季が57%、冬季が58%。(『NHK年 鑑』昭和29(1954)年版,p.211)昭和28(1953)年度は、夏季が50%、冬季が56%。(『NHK年鑑』昭和30(1955)年版, pp.294-295)昭和29(1954)年度は、夏季が48%、冬季が51%。(『NHK年鑑』昭和31(1956)年版,pp.314-315)昭 和30(1955)年度は、8月が26.1%。(『テレビラジオ年鑑』昭和31(1956)年版,p.463)昭和31(1956)年度は、7~8月が 33.8%、12月が42.4%。(『NHK年鑑』昭和33(1958)年版,p.283、なお、この年の11月に番組改定により、「なつかしのメロ ディー」は、「二十の扉」「とんち教室」とともに、「土曜の夜のおくりもの」という総合番組に組み込まれたので、12月の聴取率以降は、3番組全体の聴取 率となっている。)昭和32(1957)年度は、7~8月が29.6%、11~12月が32.9%。(『NHK年鑑』昭和34(1959)年版, p.364)昭和33(1958)年度は、7~8月が19.9%、11~12月が21.1%。(『NHK年鑑』昭和35(1960)年版,p.403)昭 和34(1959)年度は、夏期が14.4%、冬期が23.1%。(『NHK年鑑』昭和36(1961)年版,p.484)昭和30(1955)年度以 降、聴取率が年々下がっていっているが、これは、ラジオ番組全般(特に夜間番組)において起こっている現象であり、ラジオ番組の中での相対的な聴取率が下 がっているわけではない。
 なお、聴取率の測定は、NHKが独自で行なっている。聴取率の調査は昭和23(1948)年11月にスタートし、当初はサンプルの聴取者に平素の聴取程 度を尋ねる方法であったが、昭和25(1950)年6月からは、特定の日の番組についてサンプルの聴取者に聴取の有無を尋ねて、その結果を積み重ねていく 方法に切り替えている。サンプリングの方法に関しては、年によって変化しているが、概ね、全国の一定年齢に達した男女全聴取者のうちから、層化無作為抽出 法によって地区ごとに抽出し、NHKが外部から委嘱した面接員が、計1万人程度の調査の相手に直接面接して、調査番組を聞いたかどうかを尋ねるという方法 を取っている。

(10)〔『現代用語の基礎知識』(1968: p.1143)

(11)昭和24(1949)年にNHKに入社 した W氏の話によっても、昭和20年代(1945~1954年)当時、社内で「なつかしのメロディ―」とい う番組を省略して「なつメロ」と呼んでいたとのことであった。永来(1951)からは、昭和26(1951)年の段階ではまだ「なつメロ」という略称が定 着していなかったことが伺えるが、この4年後にNHKの放送文化研究所から刊行された雑誌記事では、番組名の省略として「なつメロ」という略称がはっきり と使われている。〔東城(1955:p.12)〕もっとも、懐かしい歌全般を意味して「なつメロ」という言葉が見られるのは、論者が調べた範囲では、昭和 32(1957)年の以下の記事が最初である。
  
 流行歌の歴史にくわしい音楽評論家丸山鉄雄(NHK・テレビ局)は、「人気の王座を新人に奪われたベテランのあり方は次にあげ る三つしかない」として
 ①ヒット曲の持札で生きのびる場合。いわゆる「ナツメロ歌手」(なつかしのメロディ―の略)で最もハバのあるのは東海林と小畑ぐらいのものだろう。 (「人気に背かれた三歌手――忘れかねた全盛時代――」,『週刊東京』昭和32(1957)年6月1日号,p.61)

 しかし、昭和30年代(1955~1964年)に「なつメロ」という語が新聞や雑誌上で使われることはほとんどなく、使われるようになるのは、昭和39 (1964)~40(1965)年頃からである。

(12)例えば、平成18(2006)年3月ま で NHKFMで放送されていた「昼の歌謡曲」で「なつメロ」特集をする際には、「この番組はお年を召した方 々には思い出をよみがえらせ、また、若い方々には、おじいさんおばあさん、おとうさんおかあさんの青春時代にこんな歌を聞いて元気を出していたのか…と思 いながら新しい歌として聞いていただきたいと思います。」というようなナレーションが読み上げられている。(W氏に見せていただいた「昼の歌謡曲」の台本 より)

第2章
(13)『NHK年鑑』昭和29(1954)年 版,p.117、なお、ここで記述されている「軽音楽」とは、歌謡曲を含めた流行歌全般を指している。

(14)この番組の詳細を知る記事があるので、 以下に引用する。

「思い出」という仮題で提案されたこの新しい音楽番組をはじめるにあたって、担当者に指示されたことは、一言でいえば「なつかし のメロディ―」と別の形式によること、即ち曲目、作曲者、歌手中心でなく、事件事象中心に構成すべきこと、もう一つ、この番組はレコードによるべきことな どであった。
 関係者の間で案を練った結果、題名は「思い出によせて」、形式は録音やコント等を含んだ立体的ディスコ・ジョッキーとし、とりあえず流行歌レコードの出 はじめた昭和初期から時代を追って世相を概観し、これが一応終ったところで、また別の趣向を考えようということになった。同時にこの間の副題として「昭和 のプロフィール」あるいは「昭和の横顔」と呼ぶこととした。〔花輪(1953:p.46)〕

 「思い出によせて」の演出にあたって、まず第一に重点としたところは、これに類似の番組、「なつかしのメロディ」、「黄金のい す」に似た形式に陥らず に、このプロの意図をいかにして生かすかという点であった。
 「なつかしのメロディ」はメロディを中心として聴取者に懐かしい感じを与えるのを目的としているし、「黄金のいす」は出演者を中心として、出演者個人の 昔の思い出を取扱っている。
 これに対し新番組としての「思い出によせて」は、あくまでも昔の出来事、大きな社会的事件、その当時の世相というものに重点をおいて、これを昔のレコー ド或は保存された録音、また当時の生き残り人物の登場等によって往時の思い出を聴取者の前に浮彫にするのが第一の眼目であった。〔丸山(1953: p.47)〕

(15)『NHK年鑑』昭和33(1958)年 版,p.107、括弧内は論者による。この番組に関しても、詳細を知る記事があるので、以下に引用する。

『歌は結ぶ』はヒューマン・インタレストの番組である。そこには何のフィクションも演技もない。巧妙な表現も演出もない。あるも のはただ人生の真実だけである。
 人間の生活に音楽が占める部分は大きい。音楽は或る場合には生きて行く支えにすらなる。……私たちが何か思い出を振り返ってみる時、そのよすがとして音 楽を持っていることが多い。そしてその曲を聞くたびに、思い出はいきいきとして蘇って来る。

 昭和三十一年の夏だった。テレビが一応の軌道にのり、“ラジオ的な番組”ということが真剣に考えられていた。テレビでも映画でも、舞台でも表現出来ない もの。ラジオの機能を最高度に発揮出来る題材。私たちはそんな材料を求めて狂奔していた。(中略)一つの歌に思い出を持つ聴取者を二人以上呼び、その歌の 思い出を語って貰い、その歌によって初めて会ったお二人が結ばれるといったものである。(中略)歌手は荒井恵子さんをレギュラーとして起用しよう。彼女な らどんな歌でも美しい表現で歌ってくれる……。(中略)地方在住の方のお話を録音するために現地に赴きもした。今後も各地に足をのばすプランをたててい る。ゲストとしては鳩山元総理を始め、各界の皆さんの御出席を得、ゲスト御自身の歌も放送した。現在ではシャンブル・ノネットの演奏で、荒井さんを始め、 東唱の久富吉晴氏他出演を得、ゲストの出席は隔週にお願いしている。〔山本(1958:p.58)〕

(16)『NHK年鑑』昭和37(1962)年 版,p.136

(17)『NHK年鑑』昭和37(1962)年 版No.2,p.74、この番組に関して、詳細を知る記事を以下に引用する。

37年度は、地方局との共同制作により、月1回ひとつの土地にちなむ歌をその土地の出身者(仙台・小杉勇、大阪・杉道助、北陸・ 水上勉ほか)をゲストに迎えてつづる趣向を試みた。また8月、島崎藤村の命日には馬籠で故人の長男楠雄の追悼談を収録し、その音楽作品をあつめ、10月に は北原白秋の殉後20年にあたり、その作品集を試みた(追悼の詩、作詞と朗読・西条八十)。/その他の主な出演者とテーマ:谷内六郎「雨」、井上靖 「山」、岡田喜秋「旅愁」、北杜夫「海」、鳩山薫「七五三」、サトウ・ハチロー「六大学野球」、池田弥三郎「東京」。(『NHK年鑑』昭和38 (1963)年版,p.148)

大正から昭和23年まで年代を追って構成、季節にちなんだ選曲を行なった。月1回は東海林太郎、淡谷のり子、伊藤久男、渡辺はま 子ほか現在も活躍中のベテラン歌手のワンマンショーとした。また、毎回ゲストを迎え、放送曲目にまつわるエピソードや思い出を語ってもらった。(『NHK 年鑑』昭和39(1964)年版,p.159)

例えばリバイバル・ブーム。聖書には「古い酒を新らしい革袋にいれるものあらんや」などと書いてあるんでしょうが、それがウケて いるんですよ。若い歌手のモダンなリズムによるリバイバル・ソングがね。同じリバイバル派でも、少し気が抜けかかっていたとて、古い袋に入った古い酒の一 掬を楽しむ情緒派あり、古い酒と袋の移り香をとったり真似たりしてこれから作る新酒をヒットさせようと試みる合理派がいたり……え、なんですって!「『思 い出のアルバム』は無定見流行便乗派だろう」……冗談じゃありません、こちらは『懐しのメロディ』、「ナツメロ」と呼び親しまれてきた老舗からと伝統を重 んじる商法、秘伝の「料理材料帳」を引きつぎ、立体的近代的なかつ基礎のしっかりした鉄筋ビルを造ってから営業を始めたんですからね。
 だからうわついたリバイバル・ブームはうちにとっちゃ有難迷惑みたいなもんで、うちのリバイバルが本当のリバイバル……と言うと少々ややっこしいです が、古い酒の味を、その入っている古い袋や、その作られた当時の酒蔵のことその年の季節の変動まで考えながら味わってもらう、さらに現在の酒蔵、酒袋、酒 の味とくらべて味わって貰う。また、その道で「通」と認められているお客をいつも店へ招待してホーム・バーの常連に話しかけていただく……音楽の美酒は古 きがゆえのみには尊とからず、古酒には古酒の飲み方、古酒と新酒のなじませ方があるはず(後略)〔禅野(1961:p.53)〕

(18)『NHK年鑑』昭和38(1963)年 版,pp.128-129

(19)『NHK年鑑』昭和40(1965)年 版,p.177

(20)『NHK年鑑』昭和42(1967)年 版,p.147

(21)『NHK年鑑』昭和43(1968)年 版,p.160

(22)この番組に関して、詳細を知る記事を以 下に引用する。

歌手、作詩、作曲家、ボードビリアンなど、一家をなした人の半生には、並々ならぬ努力と豊かな天才の鮮やかな足跡が残っている。その足跡をたどりながら、 その人の個性を描き、黄金の色燦然たる30分たらしめようというのがこの番組の意図である。(『NHK年鑑』昭和34(1959)年版,p.176)

昭和31年11月に第1回をはじめたこの番組も通算156回、昭和35年3月で終ることになった。(中略)この間、聴視率も終始10~25%でおおむね好 評に終始した。
 昭和34年度主なことは、今まで以上に軽音楽以外の世界の人を取り上げたこと、常盤津文字兵衛、竹本綱太夫、小牧正英、藤間勘十郎、清元寿兵衛、春日と よ、福田蘭童、喜多六平太さんなどがそれであり、また、最近に至って脚光を浴びた新進、たとえば、フランク永井、マヒナスターズ、五十嵐喜芳、今井久仁恵 さん等を取り上げたことであった。(『NHK年鑑』昭和36(1961)年版,p.232)

 音楽界の第一人者をとりあげるドキュメンタルなバラエティー。とりあげた人物は、主として歌謡曲、ポピュラーの歌手、作詩・作 曲家で、この2年間に第二線級はほとんどすべて放送した。3月3日から最終日までの5回は、とくに「昭和の歌謡史を飾る人びと」として編年史的に歌謡界の 人物をとりあげた。(中略)おもな出演者:古賀政男、中村八大、東海林太郎、藤山一郎、ディック・ミネ。(『NHK年鑑』昭和41(1966)年版, p.142)

(23)『NHK年鑑』昭和37(1962)年 版,p.227、この番組に関して、詳細を知る記事を以下に引用する。

取り上げるテーマは、過去、人々にひろく愛されてきた歌が、今もなお人々の心の中に生きつづけている姿を描こうとするものであ る。石井鐘三郎アナウンサーを司会として、ゲストに異色ある人たちを迎え、或る時は感動的に、或る時は楽しく、或る時はほほえましく、その話の展開にした がって思い出の歌をきく、というフォーマットにしている。取り上げたうたも、単なるなつかしのメロディ―にとどまらないで、広い唱歌、学生歌、民謡、クラ シックのリード、ダンスミュージックなどに至るまで、バラエティの多いことを、心がけてきた。35年度とくに好評を博したものは、第1回の「長崎の鐘」を はじめとして、「東京のうた」、「道頓堀行進曲」、「赤とんぼ」、「晩秋の潮来」、「酒は涙かためいきか」、「思い出の高校寮歌集」などであった(後略) (『NHK年鑑』昭和37(1962)年版,p.227)

 飲んで騒ぐときは陽気な歌をうたい、アベックで散歩すれば楽しいメロディを口ずさみ、悲しみの夜はすすりなく旋律に心を慰さめ る。われわれの人生にとって、歌というものはなくてはならぬもののようです。
 その歌は、あるいは大詩人、大作曲家が心魂を傾けて生み出したものであり、あるいはレコード会社の商魂が時流に合わせて作り出したものかもしれません。
 しかし、いずれにしても、歌はこの世に生み出されてから、その生みの親をはなれて、独り立ちする。そして、その歌をうたう一人一人の心に、生き始める。 何年も何十年もたって、いまなお私たちの心に生きつづけている歌のいのち、そのいのちを汲んで、人と歌とを結びつけることは出来ないものだろうか。そし て、そこに生まれるあたたかいヒューマニズムを画面ににじませて、テレビの視聴者もそれぞれの思い出をなつかしむ。……そんな番組を作りたい。
 今年四月、『歌は生きている』は、こうして発足したのでした。(中略)構成・演出の根本は常に一貫しています。それは「見ている人、聞いている人が、そ れぞれの思い出にひたり、テレビを媒体として、各自の感懐をあたためて頂きたい」ということです。(中略)
 テレビは、いまやジャーナリズムの中心となりました。それは、どこの家庭にも入りこんでいき、見ている一人一人に何かをうったえます。
 私たち担当者は、仇やおろそかに番組を出してはならないと思っています。ただ面白かった、楽しかったと思わせる番組もあっていいし、ああためになったと 思わせるものもあっていいと思います。『歌は生きている』は、見終わって「ああよかった!」と言わせたい……そんな心のほのぼのとあたたまるようなものを 毎回出して行きたいと考えています。
 歌は、人の心の中にだけ「生きている」のですから……。〔川口(1960:p.71)〕

(24)この番組の紹介記事を以下に引用する。

この番組はスタジオから飛び出して、テレビカメラで全国各地の農村、山村、漁村、都会の職場、家庭を訪れて、歌う喜び、生活の潤 滑油としての歌を求めて歩き回った。なかでも「はるかなる南の海よ」で、歌によって生をかち得た旧軍人の話には、全国からの反響が大きく、歌がもつ使命を 新たに認識させられた。(『NHK年鑑』昭和39(1964)年版,p.160)

(25)当時の朝日新聞には以下のように紹介記 事が載っている。

世相を反映する歌謡曲の歴史をふり返って作詞者を中心に、当時のヒット曲にまつわるエピソードや、社会の風潮などをききながらゲ ストの歌をおくる新番組。第一回は高橋掬太郎氏で、年代の新しいものから組んで「古城」「女ごころ」「おんな白虎隊」「酒は涙かため息か」「片瀬波」など 十七曲。(『朝日新聞』昭和35年11月2日朝刊,p.5)

(26)昭和32(1957)年の東宝映画「雨 情」の主題歌として、森繁久彌が歌った。

(27)明治時代に東京商船学校の学生達が歌い 始めて有名になった曲で、太平洋戦争中には、替え歌である「特攻隊節」が特攻隊員によって愛唱されもした。

(28)元々「ズンドコ節」は「海軍小唄」と呼 ばれており、太平洋戦争末期の昭和20(1945)年ごろに流行った。

(29)昭和16(1941)年2月、岩手の学 生であった当時18歳の菊地規の作詞に、同じく17歳の安藤睦夫が作曲したものである。当時は全国的には普 及しなかった。昭和30年代(1955~1964年)の中頃、全国の歌声喫茶で歌われて流行していたが、当時は作者不明であった。昭和36(1961)年 に作者が名乗り出て、センセーションを巻き起こし、レコード会社6社から22種類のレコードが発売され、多摩幸子・和田弘とマヒナスターズ、ダークダック ス、菅原都々子らがレコーディングし、大ヒットした。 (30)フランク永井がリバイバルし、第3回レ コード大賞受賞曲となった。

(31)昭和16(1941)年、旧制旅順高等 学校の学生であった宇田博が退学処分になった際に、同校への訣別の歌として友人たちに遺すために、作詞・作 曲した。広義の寮歌として扱われてきたが、昭和30年代(1955~1964年)に作者不詳の歌として歌声喫茶で流行し、昭和36(1961)年、コロム ビア社から小林旭盤がレコード化されて大ヒットした。その際に作者探しが行なわれた。

(32)「ヂンヂロゲ」は、明治末に日本に入っ てきたインドの俗謡であるとされ、大正時代に三高の寮歌、また書生節として広く歌われた。

(33)なお、〔古茂田他(1995: p.14)〕で引用されている、昭和39(1964)年に橋幸夫が歌った「ああ特別攻撃隊」は、リバイバル曲ではな く、当時の新曲として作られたものである。太平洋戦争中の昭和17(1942)年にも、「ああ特別攻撃隊」「あゝ特別攻撃隊」「嗚呼特別攻撃隊」という曲 がレコード会社数社から発売されているが、全て別物である。

(34)当時若者の憩の場であった歌声喫茶が きっかけでリバイバルした歌もあったという点からも、リバイバル・ブームにおける当時の若者の影響力の強さが 伺える。なお、リバイバル・ブームが若者に支持された理由には、リズムを現代風に施していたという点も見逃せなく、この点も昭和40年代 (1965~1974年)の「なつメロ」ブームとは決定的に異なった点である。

リズムは現代調で
「およばぬこととあきらめました……」多分にウエットなことばではじまるこの歌(「雨に咲く花」)は、高橋掬太郎作詞、池田不二男作曲で淡谷のり子がう たった昭和十四年ごろの流行歌。それをリバイバルさせるとき、井上ひろしという男性 ハイティーン歌手にうたわせ、リズムをロックバラード調に新装したところがミソである。詞やメロディは、昔のままでも、リズムだけは、現代調でなければな らぬ、これがリバイバルの第一条件だ。『有難や節』の作詞で、自身もリバイバル・ブームにのっている浜口庫之助氏(作詞作曲家)は、
「詞というのは、たとえていえば東海道のようなもので、これは古今将来変わらない。だがそこを通るノリモノは時代が進むにつれて急速に変わる。カゴから汽 車へ、夢の超特急へ……というぐあいに。昔の『雨に咲く花』のリズムはノロノロしたカゴだった。いまの時代にはマッチしない。マッチさせるためには、カゴ を“こだま”に変えなくてはね、ロッカバラード調はさしづめ“こだま”というところですかね」と説明する。
ロッカバラード調
“カゴ”から“こだま”へ乗りかえたいわゆるリバイバル歌は、コロムビアだけでも『小雨の丘』(昨年十二月)『別れの磯千鳥』(二月)『巷の雨』(二月) 『胸の振子』(二月)『サムライ日本』(三月)、近く『湖畔の宿』『別れのブルース』などが、発売になる。
『湖畔の宿』は映画の主題歌、高峰三枝子の歌だが、こんどハイティーン女性歌手森サカエがロッカバラード調で吹きこんだのを高峰がきいて、「私のより、い いわね」と折り紙をつけてくれたそうだ。
『別れのブルース』は淡谷のり子の傑作だ。それを神戸一郎がぜひにと申し入れて、リバイバルが実現した。コロムビア邦楽部長の吉田雄二郎氏は、
「ウチには、かつてヒットした流行歌の財産がクラにいっぱいあるんですよ。それを眠らせておくテはないですからね。昔なつかしい歌を、中年以上の人は、思い出にふけってきけるし、新しい編曲で若い層をつかめ る。商売としては、こんな合理的商法はありませんなア」と、リバイバルさまさまである。(「親爺も知ってる息子の歌――リバイバル・ソング 流行の秘密――」,『サンデー毎日』昭和36(1961)年3月19日号,p.14、通常フォント文字の太線、2~3行目の括弧内は引用者による)

(35)以下に掲げるNHK『放送文化』の引用 記事においても、後半部分で、①若者に支持されるために現代風にリズムをアレンジし、なおかつ②年配者の支 持も取り込んでいた、当時のリバイバル・ブームの姿が説明されている。

 昔の流行歌をもう一度取りあげて、新らしい装いをこらして提供するだけのことを、リバイバルというカナ文字で色づけすると、急 に何か魅力的にきこえるから不思議なものである。
 NHKでは、すでに『歌は生きている』というテレビ番組で、リバイバルを正面から とりあげて、大いに成績をあげているが――「歌は生きている」という言葉の中にリバイバル・ソングの秘密があるのだ。(中略)
 下駄ばき住宅が増え、洋装が普通のこととなった現代でも、日本人はすぐドテラを着たくなり、アグラをかきたくなるのである。千年にわたる日本人の生活の 伝統はそう簡単に変わるものではない――。
 コンクリートのアパートに住んでいてもドテラを着て、アグラをかいている人たちにピッタリくる歌、――これが今日のリバイバル・ソングではなかろうか ――。
 といっても、大正時代、昭和の初期の感覚のままで、昔の歌をとりあげてみても、人 気を集めることは無理である。新らしい装いをこらして、新らしい感覚でこれを再生しなければ今日に歌は生きてこない。
 こうして、「君恋し」や「東京パラダイス」がはなやかに登場したのである。そしてこれは企画した人が腹づもりしたよりも何倍かのスケールで延びていって いるのだ。
 この成功の裏には、昔のメロディーが、年配層の支持を得たことも、忘れてはならな い。
 ジャズ調、ロッカビリー調で、「いまどきの若いものの音楽は頭にくる」とこぼしていたおじさんたちが、はじめて和やかな気分で歌を思いだすことができた のである。自分の世界へ再び帰ってきたような安らかな思いで、歌をきく気になったのである。現代の歌手たちの歌い方は、おじさんたちの若き日の感覚とは大 いに違うのだけれど何か否定できないものが、リバイバル・ソングの中にあると思うのである。戦後荒れに荒れて、方向を失った日本人の生活意識がこんなとこ ろでまた、元へ戻っていくのではないか――。
 装いを新らたにした、昔の歌をききながら、日本の年配層の人たちが、「やっぱり昔はよかった」と回想できるだけでも、世の中は落ち着いてきたのだという ことが出来るかもしれない。(〔服部(1962:p.33)〕、太線部は引用者による)

(36)NHKの「なつメロ」番組がリバイバ ル・ブームに組み込まれていったことは、上記注(35)の引用記事から明らかである。また、下記の引用記事の ように、NHKとしては、リバイバル・ブームが起こる以前から「なつメロ」に目をつけていた自分たちが“リバイバル”の元祖である、という自負心もあった ようである。

例えばリバイバル・ブーム。聖書には「古い酒を新らしい革袋にいれるものあらんや」などと書いてあるんでしょうが、それがウケて いるんですよ。若い歌手のモダンなリズムによるリバイバル・ソングがね。同じリバイバル派でも、少し気が抜けかかっていたとて、古い袋に入った古い酒の一 掬を楽しむ情緒派あり、古い酒と袋の移り香をとったり真似たりしてこれから作る新酒をヒットさせようと試みる合理派がいたり……え、なんですって!「『思 い出のアルバム』は無定見流行便乗派だろう」……冗談じゃありません、こちらは『懐 しのメロディ』、「ナツメロ」と呼び親しまれてきた老舗からと伝統を重んじる商法、秘伝の「料理材料帳」を引きつぎ、立体的近代的なかつ基礎のしっかりし た鉄筋ビルを造ってから営業を始めたんですからね。
 だからうわついたリバイバル・ブームはうちにとっちゃ有難迷惑みたいなもん で、うちのリバイバルが本当のリバイバル……と言うと少々ややっこしいですが、古い酒の味を、その入っている古い袋や、その作られた当時の 酒蔵のことその年の季節の変動まで考えながら味わってもらう、さらに現在の酒蔵、酒袋、酒の味とくらべて味わって貰う。また、その道で「通」と認められて いるお客をいつも店へ招待してホーム・バーの常連に話しかけていただく……音楽の美酒は古きがゆえのみには尊とからず、古酒には古酒の飲み方、古酒と新酒 のなじませ方があるはず(後略)(〔禅野(1961:p.53)〕、太線部は引用者による)

(37)昭和28(1953)年10月に、 NHKラジオ「なつかしのメロディ―」で軍歌特集を放送したところ、聴取者から不評が相次いだという記録が残さ れている。
 17日「なつかしのメロディ」の軍歌は、大分不評を蒙った。楽しい土曜日をぶち壊すものだとの投書はよいとしても、あの軍歌に あふられて、いまだに病床に呻吟しているという療養所患者一同の声には、胸打たれぬ者はないだろう。(『NHK年鑑』昭和30(1955)年版, p.317)

 昭和30年代(1955~1964年)に入ってからも、軍歌に不快感を示す人々がいなくなったわけではないだろうが、その声が届きにくくなったという事 実は存在するであろう。

(38)カタログ(月報)も総目録も、共に各レ コード会社から発行されるものであるのだが、カタログが毎月の新譜を宣伝するものであるのに対して、総目録 は、年に1度、その時点で発売中の全レコードを宣伝するものである。今回用いたのは、『ビクターレコード番号順総目録 昭和41年度 邦楽』、『ビクターレコード番号順総目録 1971年度用』『ビクター邦楽レコード番号順総目録 1976年度用』、『テイチク・デッカ・ユニオン番号順総目録 : 営業用 1965』、『番号順総目録 : 営業用 1970』(テイチク)、『番号順総目録 1975』(テイチク)である。なお、戦前から存在する他のレコード会社の総目録は、国会図書館には十分に所蔵されておらず、活用することは不可能であっ た。

(39)ここで面白いことは、リバイバル・ブー ムは昔の歌を新たに現代風のリズムにして若手歌手に歌わせるというものであったのにもかかわらず、同時期に SP盤音源復刻のレコードがヒットしたということである。SP盤音源復刻であるということは、戦前等のレコードの音源をそのまま用いているわけであるか ら、昔の歌が現代風のリズムにアレンジされているわけでもないし、歌い手も昔の歌手そのままである。

(40)SP盤とLP盤の製作枚数の推移は、以 下の表5・6を参照のこと。
表5(「SP レコード原盤製作枚数」,〔倉田(1992:p.237)〕の図による)
表6(「オーディオレコードの生産枚数」,〔倉田 (1992:p.241)〕の図による)

(41)1分間に331/3回転のレコードに は、直径が17cm・25cm・30cmの3種類があり、特に17cmのものはコンパクト盤と呼ぶこともある が、本稿では3種類ともLP盤と呼ぶことにする。なお、LP盤が普及した同時期に、1分間に45回転で直径が17cmであるEP盤(ドーナツ盤)も普及 し、これが従来のSP盤に代わるシングル盤として機能した。

(42)少し時代が後になるが、加太 (1971)が昭和46(1971)年11月発売のレコードに関して、以下のように言及している。

LP三十センチの歌謡曲レコードは七十一枚発売されている。このうち、いわゆるナツメロが三十五枚で、ナツメロのうちには軍歌、軍国歌謡の特集盤が七枚あ る。〔加太(1971:p.15)〕

 このことからも、「なつメロ」もののレコードはLP盤が主体となっていたことが分かる。

(43)④「もともとその歌を最初に吹き込んだ オリジナル歌手が新しく吹き込み直したもの」に関しては、当時ステレオ録音の技術が普及したことも影響して いる可能性がある。昭和40(1965)年頃まではモノラル録音のレコードが出回っていたが、昭和30年代(1955~1964年)の後半からステレオ録 音のレコードが出回り始め、昭和40年代(1965~1974年)になると、モノラル録音のレコードは見当たらなくなる。こうして、昭和40年代 (1965~1974年)の「なつメロ」ブーム時においては、戦前にデビューしたベテラン歌手が新たにステレオ録音で吹き込み直したレコードが出回るよう になる。ステレオ録音で吹き込まれた往年の歌手のレコードを聞いて、ファンは、往年の歌手がなおも健在であることをよりはっきりと認識したことと思われ る。

(44)昭和30年代(1955~1964年) のリバイバル・ブームは、「明治百年」の影響力も考えられる。「明治百年」とは、明治維新以来100年が経 つことを祝って、明治時代以来からの日本の歴史を振り返るという動きが起こったことである。「明治百年」の中では、当然のように、流行歌100年の歴史を 振り返るという流れも起こった。「明治百年」は、1960年代に入ってから起こり、昭和43(1968)年がそのピークとなった。

(45)『NHK年鑑』昭和43(1968) 年版,p.459

(46)『NHK年鑑』昭和43(1968) 年版,p.459、なお、“年度”とは、翌年の3月の時点における普及率を指している。世帯普及率の推移は本 文通りであるが、個人単位によるテレビ所有率はもっと高い値となっている。昭和39(1964)年6月で88.8%、昭和40(1965)年7月で 93.5%、昭和41(1966)年6月で95.4%、昭和42(1967)年6月で96.8%であり、昭和40年代(1965~1974年)に入ってか らは9割を超えている。〔本田(1967:p.2)〕

(47)『NHK年鑑』昭和43(1968) 年版,p.458

(48)http://www.env.go.jp/policy/hakusyo/hakusyo.php3? kid=203、『平成3年版環境白書』 の第2章中の2-3-3表「日本の一人当たりGDPの推移」による。

(49)当時の日本人が外国と比べても、いか にテレビが生活の中のものになっていたかを示すものに、以下の図10がある。これは、「もし、これから先2、 3か月の間生活するのに、次の五つの品物のうち一つしか持てないとしたら、まず第一に何を選ぶか」を尋ねたものである。日本の回答は、昭和50 (1975)年2月に実施された国民世論調査による。アメリカの回答は、昭和45年に行なわれた、ワシントンのThe Bureau of Social Science Researchによるもので、対象は18歳以上、100%=1900人と発表されている。
図10「生 活に必要な“もの”――(日本とアメリカ)」,〔小寺・山本(1975:p.5)〕による)

(50)歌謡曲の定義に関しては、以下の加太 (1977)が簡潔にまとめられている。

 歌謡曲という名称は、昭和の戦争中の文化統制によって命名されたもので、それまでは、流行歌、映画主題歌、小唄などとレコード 会社が適当に分類していた。戦時下の国民は軽佻浮薄な流行歌=はやり唄など、うたってはならぬというわけで、ドイツのリードのような歌に対して使われてい た歌曲という言葉をまねて、古くから使われていた歌謡という文字を使って歌謡曲としたのである。実は、歌謡曲というと実体がはっきりしないので、辞書のよ うにその種の歌を次のように定義づけておく。歌謡曲とは、レコード会社製のレコードに録音されたドレミファ音階による小唄である。ときには叙事詩の形式に よる歌詞もあるが、主として叙情詩が歌詞に使われる。その発祥は昭和三年に、レコードが日本において旧録音から、電気録音になったときで、以後、日本の流 行歌の源泉は、演歌師や簡易楽器等からレコードに移った。〔加太(1977:p.32)〕

(51)レコードの購入者の年齢層に関して は、『オリコン年鑑』の全身に当たる『コンフィデンス年鑑』の昭和46(1971)年版に載っている以下の表7 が参考になる。これは、昭和45(1970)年9月1日~9月20日にかけて、都内主要レコード店を23区平均に選出し、そこでレコードを買っている人か ら直接アンケートを取る面接方式で調査したものである。結果を見ると、レコード店を訪れる数も、購買数も、25歳までの層が圧倒的に多いという事実が浮か び上がる。
表7(「購 買確率と年代別占有率」,『コンフィデンス年鑑』1971年版,p.121の表による)

(52)本田粛正は、グループサウンズへの若 者の熱狂の様子を振り返って以下のように述べている。

 もはや、その影さえもみられなくなった若者のアイドル――グループサウンズは、その後の若者たちに、どんな足跡を残したのだろ うか。
 あの狂気にも似たローティーンたちの熱狂は、大人たちにとっては、とうてい理解の 範囲を越えていた。
 しかし、彼らにとって、昭和四十三年前後の一時期は、まさに、エネルギーが爆発した青春のひとコマであったことは事実だ。
 それが、失神、事故などの騒ぎで、社会的に、かなり大きな非難をあびせかけられたことがあったにしても、彼らは、さほど気にもとめない大胆さをもってい た。
 その大胆さが、大人たちの胸にグサリと突きささり、大人たちは、もはやどうにもならない気違いざたとして受け取り諦めとニガニガしさで、いつのまにか口 をつぐんだ。
 たしか、そのころからであったろう。親子の間、あるいは、社会的なひろがりの間 に、しきりと「断絶」ということばが流行した。〔本田(1971:p.22)、太字は引用者による〕

(53)この文中での「ポピュラー音楽」とい う語の使われ方は、「外国風のポップス調流行歌」くらいの意味で用いられている。それに対して、小川 (1989)での「ポピュラー音楽」という語の使われ方は、演歌調のものもポップス調のものもまとめて、歌謡曲=流行歌全般を指して用いられているのに注 意。

第3章
(54)峰尾静彦 1970「低俗娯楽化する 12チャンネルの正体――免許をもらってしまえばそれまでよ」,『月刊時事』昭和45(1970)年10月 号,pp.142-147

(55)「火の車十二チャンネル―その予想され た業績不振と筋書き―」,『週刊新潮』昭和40(1965)年2月1日号,p.26
 なお、東京12チャンネルの視聴率の低さに関しては、『中央公論』昭和41(1966)年3月号の以下の記事が印象的である。

 視聴率からみた12チャンネルの実績が、惨澹の一語につきることは前に述べたが、開局第一日目の最高の視聴率は五・二%、しか もその番組が「未来を歌おう」で、最低の〇%が「日本の科学時代」だったことは、きわめて皮肉な現象であり、不吉な前兆だったといってよい。しかも翌日初 放送の「樅の木は残った」が民法きっての豪華番組の前宣伝にもかかわらず、視聴率は六・一%、局側の期待はむざんに裏切られた。
 五月十八日から二十四日までのベストテン(第一位「宇宙家族」四・四%)の視聴率を総計しても、同じ期間のTBSの第一位「隠密剣士」の三三・〇%に達 しなかったといわれている。他の民放では二〇%をこえねばベストテンにはいれぬし、ゴールデンアワーで一五%を割れば重役会議で問題となり、一〇%以下で はプロデューサーの首は飛び、もちろんそれまでには、スポンサーはおりてしまうとまでいわれている。こうした業界の常識からいえば、12チャンネルの場合 は、視聴率以前、つまりスポンサーにとっては“不毛の荒野”というほかはなかった。(中略)
 よしない道草を食ったが、本題にもどると、それでは12チャンネルの番組そのもののできが悪いかというと、決してそうではなかった。「樅の木」や「二十 四の瞳」(四・八%)は、TBSあたりでやれば二〇%をこすだろうというのが専門家の判定である。また四・四%の「宇宙家族」も、NHKが放送していた当 時は、一五・六%の視聴率だったという。こうなると12チャンネルの番組そのものが悪いのではなく、科学技術教育専門局というステーション・イメージが 取っつきにくく、なじめないことに、その原因を求めるほかはない。いくら「うちは視聴率は気にしない」と12チャンネルが強がりをいっても、このままでは スポンサーがつかないから、背に腹はかえられないわけである。(青地晨 1966「特別調査 東京12チャンネルの不幸な経緯」,『中央公論』昭和41(1966)年3月号,pp.238-239)

 他にも、「ゴールデン・アワーの視聴率が平均して二%~三%であ」るという記事も見受けられる。(樋口五郎 1966「東京12チャンネル 崩落への経営責任」,『現代の眼』昭和41(1966)年6月号,p.131)

(56)「なつかしの歌声」のタイトルの由来 は、昭和15(1940)年に東宝映画「春よいづこ」の主題歌として売り出され、藤山一路と二葉あき子によっ て歌われた同名の歌による。

(57)論者は、東京12チャンネルが「なつメ ロ」番組に乗り出したきっかけとして、当時経営難のテレビ局としては、ギャラが安くてすむ往年の歌手しか用 意できなかったという要因もあるのではないかと考えていたが、三枝氏の話によると、それはなかったとのことであった。

(58)計17回のうち、昭和41(1966) 年1月3日放送分の回は、新春特番として60分に拡大して放送された。

(59)東京12チャンネルは開局以来ずっと視 聴率の低迷が続いており、ようやく向上し始めた昭和44(1969)年の9月に、ゴールデン・アワーの平均 視聴率が初めて7%を達成したほどであった。このことを考慮に入れると、「なつかしの歌声」の視聴率はかなり健闘していたと言えよう。

(60)昭和43(1968)年12月31日 に、20時~22時まで「なつかしの歌声大会・思い出のヒット曲」というタイトルの特別番組が放送されてい る。「なつかしの歌声・年忘れ大行進」というタイトルになったのは翌年の大晦日からであるが、第1回の起点は昭和43(1968)年である。なお、昭和 50(1975)年からは、タイトルに「なつかしの歌声」という表示がなくなり、現在の「年忘れ・にっぽんの歌」というタイトルに到っている。ちなみに、 昭和41(1966)年の大晦日にも、19時~21時まで「歌こそわがふるさと・思い出のメロディー集」という特別番組が放送されているが、三枝氏による と、これは「歌謡百年」の特別番組であるとのことである。開局の年に当たる昭和39(1964)年と昭和40(1965)年、昭和42(1967)年に は、大晦日に歌番組を放送していない。
 夏の特別番組の第1回は、昭和45(1970)年8月4日日曜日に「なつかしの歌声・郷愁の歌まつり」というタイトルで、21時~23時に放送した。こ の回は、「なつかしの歌声」の番組放送100回記念で企画されたものであったが、翌年以降も7月もしくは8月の日曜日に特別番組を放送し続け、現在の「夏 祭りにっぽんの歌」につながっている。なお、昭和45(1970)年の第1回分は、ビデオリサーチ社の調べで視聴率が20.4%を獲得し、平成6 (1994)年現在でテレビ東京の歴代高視聴率番組の第20位に入っている。

(61)ビデオリサーチ社の調べで、関東地区の 視聴率である。以下の引用文中の視聴率も同様。なお、「なつかしの歌声」の夏と大晦日の特別番組の視聴率 は、平成5(1993)年現在まで全て〔『テレビ東京30年史』(1994:p.176)〕に記載されている。

(62)ちなみに、NHKラジオ「なつかしのメ ロディ―」の番組名の省略としてではなく、古い歌全般を指す意味での「なつメロ」(「ナツメロ」、「懐メ ロ」を含む)という語が朝日新聞において使われるのは、管見する限りにおいてこの記事が最初である。

(63)横浜にある「放送ライブラリー」という 施設において、昭和44(1969)年12月31日放送の「なつかしの歌声 年忘れ大行進」の特別番組と、 昭和44(1969)年7月29日放送の通常枠のものと計2本現在でも視聴することができるが、それらにおいても、ゲストは歌を歌うことに特化していた。

(64)『NHK年鑑』による、ラジオ番組「今 週の明星」の紹介記事の変遷をたどると、昭和36(1961)年版で初めて「この番組の開始した当時と比 べ、その顔触れが殆んど一新されたように思われるのも、歳月の移りかわりの慌しさの現われかもしれないが、その流れの中に、藤山一郎、淡谷のり子、伊藤久 男さんがゆるがない実力を見せて変らないベテラン歌手の存在を示して」(『NHK年鑑』昭和36(1961)年版,p.164)いるという記述があり、翌 年の昭和37(1962)年版では、「この長い年月を通じて活躍し、現在に及んでいる歌手は、藤山一郎、伊藤久男、淡谷のり子さんなどの数氏にすぎない」 (『NHK年鑑』昭和37(1962)年版,p.132)とある。

(65)高峰三枝子は当時の雑誌の対談記事で、 以下のように述べている。

(声が)出ないんです。セリフはしゃべれましたけど。最初の二年間ぐらいは、セリフもしゃべれなくって、筆談だった。(中略)そ れがおととしに、東京12チャンネルの「歌謡百年」という番組で、どうしてもわたしを出したいといってきて、わたしは「いやだいやだ」といって逃げまくっ たんだけど、向こうは「ダメならダメでもいい、どうせいま歌っていないんだから、みっともなくてもいいから」なんて無責任なことをいうの(笑)。(中略)
 向こうは非常に熱心で、わざわざ声楽の先生を三月(みつき)も局持ちでつけてくれた。わたしはどうせお断りするつもりだから、たいへん無愛想におけいこ していたら、声が出ちゃったんです。(中略)
 その番組が、二年前のクリスマスに放映されたわけ。「湖畔の宿」や「懐しのブルース」なんか歌ったんですけど、たいへんな反響で、昔のファンの方が涙を こぼして……。(中略)
 それから各テレビ局から、歌ってくれ歌ってくれっていってきて、こっちもだいたい、ネは歌が好きなんですね。だから、いい気持ちになって歌っているうち に、こんどはLPに入れようじゃないかというので入れたら、おかげさまでLPとしては空前のヒットということになったんです。(「茶の間に返り咲いた花の 素顔――健在、戦中派美人スターの芸能LP人生」,『アサヒ芸能』昭和43(1968)年5月19日号,p.54、冒頭の括弧内は引用者による)
  
 ぜんぜん声が出なくなったんです。十三年間出なかったんです。ですから、かつてうたったということすら忘れていたのに……。 (中略)
 たまたま「懐(なつ)メロ」ブームがきて、どうしてもうたってみてくれといわれて、ちょっと発声みたいなことをやってみたら、出たんですね。びっくりし ちゃった。(中略)
 (歌ってみなさいと言った人は)12チャンネルの三枝さんなんですよ。だからわたくし、この方の番組だったら、どんなにやりくりしても出ます。わたくし によろこびを与えてくだすった方ですからね。(近藤日出造「“歌ってさえいればごきげん”――テレビ・ワイドショーを司会 高峰三枝子さん」,『週刊読売』昭和43(1968)年6月21日号,p.48、括弧内は引用者による)

 また、戦後所在が不明であった小野巡と塩まさるが「なつかしの歌声」に出演した際の、視聴者の反応として以下を引用しておこう。

火曜の夜9時30分、田宮二郎ショーが終っておなじみのテーマ音楽、ご存じ東京12チャンネル「なつかしの歌声」のはじまり ――。(中略)
 ある日―新聞発表に小野巡とあり、夢ではないかと疑いつつも心待ちにする。以前塩まさるが初めてこの時間に登場したときはすっかり感激してつい拍手する 始末。上原敏亡きいま(中略)名調子のコブシの味が忘れられない人は、だれしも彼のいささかもおとろえぬ美声に酔わされることうけあい。めでたく『守備兵 ぶし』『音信はないか』を録音することができた。(林昭伸「ただいま本番」,「なつメロ愛好会」会報第4号,昭和44(1969)年,p.2)

(66)前章で論者は、昭和40年代 (1965~1974年)の中頃から、現役のベテラン歌手だけでなく、既に亡くなったり現役を既に引退した歌手の復刻 音源ものや、新たに吹き込み直したレコードが登場するようになると書いたが、これもまさに「なつかしの歌声」の影響であろう。

(67)「『なつかしの歌声』放送全記録」は、 東京都在住の愛好家であるH氏が、埼玉県在住の方と京都府に在住の方からの資料を用いて、 「歌謡百年」、「なつかしの歌声」、「思い出のヒット曲」の、東京12チャンネルの一連の「なつメロ」番組の毎回の出演者と歌った曲目を丹念に調べ上げた ものである。かつてH氏がWebページに掲載していたものを、本人からEメール添付で送ってもらった。

(68)昭和40(1965)年の「歌謡百年」 の段階では、まだ番組販売には到っていなかった。

(69)「『なつかしの歌声』放送全記録」によ ると、昭和47(1972)年7月8日と7月15日の2回に渡って、沖縄県・那覇市民会館から中継録画を行 なっている。

(70)関東地方では昭和48(1973)年4 月から同年の9月まで、「思い出のヒット曲」と番組タイトルを変えて1時間の枠で放送しているが、東海地方 では、タイトルは「なつかしの歌声」のままで、同内容を30分に圧縮して放送している。

(71)以降、関東地方との時間差は徐々に縮 まっていく。

(72)〔『テレビ東京30年史』(1994: p.176)より作成。ビデオリサーチ社の調べによる。

(73)東海地方で「なつかしの歌声」が放送を 開始してから3ヶ月後に、「聴視者の声」として、中日新聞に寄せられた投稿記事を1つ紹介しよう。

時代を越えた若さ
 名古屋テレビ「なつかしの歌声」(水曜後9・30)は、往年のヒット曲を司会のトップ・ライトが当時の社会情勢をコント風に説明し、時代背景をよみがえ らせつつ、当時の歌手が歌う。軽薄な内容の歌が多い昨今、叙情的な歌詞と、哀愁を帯びた曲が非常に美しく、胸打つものがある。当時歌った人が久しぶりに元 気に登場するのも、なつかしい限りだ。そしていまなお若々しい美声には驚かされるし、どんな曲にも時代のへだたりというか、古さといったものが意外に感じ られない。登場する歌手が少ないのが残念だが、家族みんなで楽しく見られる番組である。(岐阜県加茂郡川辺町比久見・有本とも子)(『中日新聞』昭和44 (1969)年4月16日朝刊,p.16)

(74)名古屋の中部日本放送で昭和26 (1951)年9月1日に、日本で初の民間放送が開始した際に、宇井昇アナウンサーの声が第一声であった。

(75)物故者の場合の関係者というのは、例え ば故松平晃の回では、娘の福田和禾子と作曲家の吉田信、故徳山璉の回では、未亡人と同僚歌手の四家文子、故 中野忠晴の回では、未亡人と作曲家の吉田信が出演している。

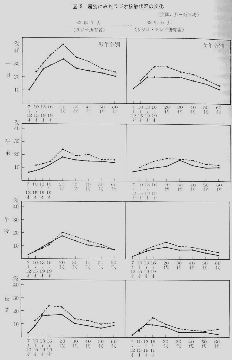
(76)当時のラジオ聴取の状況は、以下の図 11のようになっている。この図から、20代を頂点として年齢が上がるごとにラジオへの接触率が低下している こと、夜間においてティーンエージャーの接触率が高いということが分かる。
図11(「層 別にみたラジオ接触状況の変化」,〔鈴木(1968):p.10〕の図による)

 なお、その他の「なつメロ」ラジオ番組としては、「なつメロ愛好会」会報第25号に以下のような記事が載っている。

 なつメロを扱うローカル番組といえば、今でもNHKFMの地方局では、随時放送されている様です。例えば、京都のNHKでは 「なつメロをあなたに」又、以前水戸局を受信した時「いこいのひととき」という番組があって、茨城県大宮町在住の小野巡氏をゲストに放送していました。 又、私自身が戦後間もなく仙台に住んでいた時、当時のNHKに「緑の小箱」というローカル番組があって、その当時の歌謡曲やなつメロを放送していたのを思 い出します。(中略)
 地方に於て、マスコミを活用してなつメロをとり入れている所としては、この長崎の他、関西地方が盛んのようです。朝日放送の「花のなつメロ大行進」近畿 放送の「この歌あの人」「只今なつメロ放送中」ラジオ大阪の「なつメロ対新メロ」その他数限りないようですが、かっての電話リクエスト・ブームがそうで あったように、地方でのブームは必ず東京にも押しよせて来ます。なつメロについてもそんな日が必ず来ると思います。なつメロの発展は地方から、今回の長崎 集会に参加して、私はこんな感想を持ちました。(幅屋三樹「なつメロとローカル番組!!“長崎集会に参加して”」,「なつメロ愛好会」会報第25号,昭和 48(1973)年,p.7)

 引用文中に出てくる「近畿放送の『この歌あの人』」とは、おそらくラジオ関東の「この歌あの人」のことであろうが、その他の番組に関しては、放送開始日 時も内容の詳細も不明である。

(77)当時のUHF受信機(コンバーターまた はオールチャンネルテレビ)所有率は以下の図12のようになっている。
図12(「地 域別のUHF受信機所有率」,〔相田・田村(1971:p.14)〕の図による)

(78)『週刊TVガイド』昭和44 (1969)年8月8日号,p.86

(79)「『あゝ戦友あゝ軍歌』がほりあげた戦 争体験記 軍歌に明け暮れたボクらの青春とはなんだったろう」,『週刊TVガイド』昭和45(1970)年8月14日号,p.30

(80)どちらも昭和40年代 (1965~1974年)の東京12チャンネルを代表する長寿番組で、ゲストの人生を振り返るという趣旨の番組であった。こ れらの“昔語りの番組”に歌が加わったものが「なつメロ」番組であると捉えることも可能であろう。“昔語りの番組”や昔を振り返る番組と、「なつメロ」番 組との関連性を捉えることは、今後の課題としたい。

(81)「<思い出のメロディー>」,『グラフ NHK』昭和47(1972)年7月15日号、ちなみに、『グラフNHK』の昭和43(1968)年1月1 日号での「百年の歌声」の番組紹介の記事では、「明治百年にちなみ、なつかしのメロディ―を東京ぼん太の進行役でつづるバラエティー歌謡百年。各出演者が その曲の時代のふん装で、当時の風俗もあわせて紹介していく。出演は三波春夫、西郷輝彦、園まり、九重佑三子、三浦布美子、ダーク ダックス、山崎唯ほか。」(「なつメロ版“明治百年”」,『グラフNHK』昭和43(1968)年1月1日号)とあり、若手~中堅歌手しか出演していない ことが分かる。

(82)昭和28(1953)年3月22日の新 聞には、以下のように番組の紹介記事が掲載されており、19時30分~20時30分まで放送をしている。

人 気歌手の大量出演
 日比谷公会堂から「歌の展覧会」を一時間にわたって中継する。①ハイヌーン(黒田美治)②ドミノ(ペギー葉山)③ア・ガイ・イズ・ア・ガイ(ナンシー梅 木)④ふるさとの歌(川田孝子)⑤見てござる(音羽ゆりかご会)⑥アデライ(斎田愛子)⑦春の声(東唱)⑧-⑩のど自慢優勝者の歌曲、俗曲、歌謡曲⑪伊那 節(市丸)⑫柳の雨(勝太郎)⑬ヴォルガを越えて来た女(久慈あさみ)⑭東京スーベニア(ディック・ミネ)⑮たそがれのボレロ(淡谷のり子)⑯丘は花ざか り(藤山一郎)   (「歌の展覧会」,『朝日新聞』昭和28(1953)年3月22日朝刊,p.5)

(83)ディック・ミネに関しては、以下のよう に昭和46(1971)年までNHKと対立が続いていた。

 ディック・ミネとNHKの対立は一昨年八月いらいのもの。NHKが折りからの“なつ・メロ”ブームに乗って思い出のメロディー を企画、その際ディック・ミネに出演を依頼した。これに対してディック・ミネは「東京12チャンネルの“なつかしの歌声”の人気を横取りしようというのが 気に入らない。それに出演依頼の態度がおうへいだし、ギャラも安い」と、持ち前の反骨精神で出演を拒否。さらに、その後、昨年の万博記念の「思い出のメロ ディー」でも、出演を断わっている。(「ディック・ミネとNHKが和解へ――飯田広報部長との非公式会見で握手」,『週刊TVガイド』昭和46 (1971)年4月23日号,p.46)

 なお、他の記事では、「NHKの官僚的態度が気に入らない」とのことで、8年間NHKにテレビ出演しなかったと書かれている。(「ディック・ミネが8年 ぶりでついにNHKに出演!その波乱の舞台裏」,『週刊平凡』昭和46(1971)年5月6日号,p.168)ディック・ミネは昭和46(1971)年に NHKと和解し、この年の「思い出のメロディー」からは出演をしている。

(84)「思い出のメロディー」が始まった翌年 の昭和45(1970)年からは、東京12チャンネルの「なつかしの歌声」も夏に特別番組を編成するように なり、以降はNHKと東京12チャンネルが夏の「なつメロ」特番同士で対決するようになった。

(85)もっとも、NHKの「思い出のメロ ディー」に関しては、若手歌手に昔の歌を歌わせることも多くなっているが、第7回の放送では、「特に原曲に忠実 にできるだけその“本人”にうたっていただ」くことを趣向として掲げている。(『グラフNHK』昭和50(1975)年8月号)

(86)『週刊文春』昭和40(1965)年 11月22日号,pp.90-94

(87)『週刊大衆』昭和40(1965)年 11月4日号,pp.88-90

(88)「勲章を胸の流行歌手 東海林太郎――三十三年の歌手生活に命を賭けてきた執念」,『週刊大衆』昭和40(1965)年11月4日号,p.90

(89)「『赤城の子守唄』永遠の眠り」, 『朝日新聞』昭和47(1972)年10月4日夕刊,p.11

(90)横山記者「“ある時代の終り”を告げ る東海林太郎の死」,『週刊朝日』昭和47(1972)年10月20日号,p.145

(91)中には、正確には流行歌の歌手が本職 ではない人物も含まれている。

(92)このリストでは、戦前・戦後を通して 流行歌手が本職であった人物に限った。

(93)もちろん「なつメロ愛好会」の会員の 中には、当時第一線の流行歌(歌謡曲)を認めた上で、「なつメロ」を愛好していこうという穏健的な層が存在し ていることもまた事実である。これらのことは、当時の往年の歌手自身にも当てはまることで、『週刊TVガイド』昭和45(1970)年8月7日号の「なつ メロ」特集などを参考にすると、東海林太郎、淡谷のり子、渡辺はま子らが当時の若手歌手や歌謡界のしくみに批判的であるのに対して、二葉あき子や菊池章子 は、若手の後輩達に理解を示している。(「ベテラン歌手がズバリ歌謡界に直言する いまの歌手に教えたい“心意気”」,『週刊TVガイド』昭和45(1970)年8月7日号,pp.42-49)ただ、論者が見る限りでは、「なつメロ愛好 会」の会員にしても、往年の歌手にしても、「現代」の歌や歌手に嫌悪を抱いていた層の方が多数であったという感じを受ける。

(94)この引用文の主は、具体的に何月何日 の新聞に14才の中学生の投稿が載っていたのかということを掲げていないし、山口県に在住している方なので、 東京版や名古屋版の朝日新聞には元の投稿は載っていないだろうと判断し、原典の投稿記事に当ることは控えた。

(95)残念ながら、この記事の出典は不明で ある。

(96)平成5(1993)年に発足した愛好 会で、「なつメロ愛好会」と同様に、昭和戦前期~昭和20年代(1945~1954年)の流行歌を愛好してい る団体である。

(97)もっともK氏も、レコードでの歌声 と、テレビでの歌声とが全然違うように感じ始めたという、昭和40年代(1965~1974年)後半以降の流行 歌及び歌手に関しては嫌悪しているとのことである。

(98)昭和45(1970)年11月24日 「夢さそう童謡集」、昭和46(1971)年3月2日「心のふるさと・想い出の唱歌集」、昭和46 (1971)年6月19日「夢の国へ」(童謡特集)、昭和46(1971)年12月25日「追憶の夢路」(童謡特集)、昭和47(1972)年6月3日 「流行歌―明治・大正・昭和」、昭和47(1972)年6月10日「わが心のふるさと」(童謡特集)、昭和47(1972)年9月30日「わしが国さの」 (日本調歌手がヒット曲と自分の出身地の民謡を歌う)、昭和48(1973)年2月10日「童心よいつまでも」(童謡特集)、昭和48(1973)年8月 4日「心の故郷追憶の歌」(童謡特集)、昭和48(1973)年11月4日「童謡唱歌の調べ」、昭和49(1974)年3月3日「淡き夢の思い出」(童 謡・唱歌特集)が、流行歌以外の特集の回の全てである。

(99)当時の「なつメロ」ブームが、どうし て60代以上の老年層をターゲットにしなかったのかということに対して、論者は次のような仮説を立てている。 というのは、大正時代以前においては、俗謡や邦楽だけでなく、当時の流行り唄であった書生節や中山晋平節にしても、「この歌にはこの歌い手」という対応関 係が希薄であり、同じ歌を色々な歌い手が歌っていた。また、歌い手と聞き手との対応関係自体も希薄であり、民衆自身が聞き手であると同時に歌い手でもあっ た。これが昭和に入ると、外国資本化したレコード会社自らが流行を狙った流行歌を作り出すようになり、歌手の専属制度も整い、「この歌にはこの歌い手」と いう対応関係が鮮明になった。これにより、人々は、「東京行進曲」と言えば佐藤千夜子、「赤城の子守唄」と言えば東海林太郎、といった具合に、流行歌と歌 手とを結びつけて考えるようになったし、これらレコード流行歌は、民衆にとってはまず聞くべき存在であった。「なつメロ」ブームは往年の歌手を再評価する という力が原動力となっていたために、歌と歌い手との対応関係が希薄であった大正時代以前の歌は排除されてしまったのである。

(100)昭和48(1973)年9月1 日放送分、同年11月11日放送分、翌49(1974)年2月3日放送分には、昭和28(1953)年生まれで、 昭和39(1964)年にデビューした小林さち子(現・幸子)までもが出演して歌を歌っている。

(101)昭和46(1971)年8月8 日の「なつかしの歌声・第2回郷愁の歌まつり」に関しては、昭和20年代(1945~1954年)までの歌の特集 となっている。

(102)さすがに、翌年の昭和50 (1975)年の「思い出のメロディー」では、昭和40(1965)年までの歌に年代を絞っている。

(103)「あなたの心にのこる『懐かし のメロディ―』は?」,『女性セブン』昭和47(1972)年8月9日号,pp.198-201、なお、このアン ケート特集では、若手有名人から中堅層の有名人、淡谷のり子といったベテラン層にまで及んでいる。

(104)「あの歌・この歌・みんなで 歌った思い出の歌 あなたのナツメロ20曲」,『女性セブン』昭和53(1978)年5月11日号

(105)「特別企画 20代の諸君!オ レたちにもすでに回想(なつめろ)があるのだ!」,『週刊読売』昭和50(1975)年10月18日号,巻頭グラ ビアの他pp.48-75、この特別企画では、広い意味での「なつメロ」として、歌以外にも、昭和30年代(1955~1964年)の風俗全般を「なつメ ロ」として取り扱っている。

(106)『コンフィデンス年鑑』の昭 和51(1976)年版でも、「なつメロ」という語に関して、以下のように説明されている。

 以上(の“なつメロ”の説明)は、戦前あるいは戦後から昭和30年代にかけてのヒット曲が対象となっているが、最近では、若者 の間で、加山雄三や荒木一郎の人気が沸騰している。彼等は10数年前に全盛きわめた歌手達だが、若者たちの音楽の原点として見直され再発掘されたものだ。 これもまた“なつメロ”であろう。(『コンフィデンス年鑑』昭和51(1976)年版,p.549、括弧内は引用者による)

終章
(107)『朝日新聞』上では、昭和39年 12月13日朝刊の「来年は演歌ブーム?トップ切るのはだれ」(p.23)が最初であるし、大宅壮一文庫による 「演歌」記事の最初は、昭和48(1973)年の「アタマが痛い演歌の売り上げ」(『週刊小説』昭和48(1973)年11月23日号,p.28)であ る。

(108)例えば「なつメロ」に関しては、 「なつメロ愛好会」会報第29号(昭和49(1974)年)で、前田惣吉が「心の歌“懐メロ”“なつメロ”」 (p.6)、山口純が「――なつメロは日本人の心の故郷――」(「なつメロ考(一)」,p.7)という記事をそれぞれ書いている。「演歌」に関しては、例 えば『プレイボーイ』昭和51(1976)年12月21日・28日合併号において、「ニッポン人の魂のふるさと 演歌わが伴侶の一曲」(pp.159- 164)として特集記事を組んでいるし、『週刊アサヒ芸能』昭和52(1977)年2月10日号においては、「あまねくニッポンの心情を代表する歌とし て、連綿として唄いつがれてきた“演歌”の世界」(p.12)という記述がある。

(109)例えば、『アサヒ芸能』昭和54 年9月20日号では、「『オレたちの歌』を探しあてた中高年が支える演歌ブームの再燃」(pp.74-77)と いう特集記事を組んでいる。実際の統計上でも、以下の表8のように30代~50代で好きな音楽を演歌に挙げている層が多くなっており、守谷(1982)で は、以下のように年齢によって音楽の好みに顕著な変化が生じていることを指摘している。
Ⅰ期(7~14歳):テレビマンガ主題歌、CMソング、童謡、唱歌が好きな時期
Ⅱ期(15~19歳・20代):ニューミュージック、ロック、ディスコなど「最新流行の音楽」の世代
Ⅲ期(30代):最近のポピュラーソングや演歌、民謡が上位を占め、新旧交差の世代
Ⅳ期(40・50代):男女ともに演歌が1位で、タンゴ・シャンソンが入ってくるのが特色の時期
Ⅴ期(60歳以上):男性のクラシックを除くと和風一色になってしまう時期
〔守谷(1982:p.56)〕

表8(〔守 谷(1982:p.55)〕の図による)

(110)東京12チャンネルの「なつかし の歌声」の後発番組であると考えられる「発表!!ベスト歌謡50年」や「心で歌う50年」は、当時演歌歌手とよ ばれた歌手が次々と出演し、「なつメロ」と「演歌」が混在していたようである。それらが、「演歌の花道」という番組に引き継がれていった。読売テレビの 「帰ってきた歌謡曲」の後発番組である「」も、NETテレビの「にっぽんの歌」という番組は、登場当初は以下のように「第3のなつメロ番組」ともてはやさ れたが、次第に「演歌」の比重が増していったようである。

 NHKの恒例となった“なつメロ特集”や東京12チャンネルの「なつかしの歌声」といった昔なつかしい歌番組がブームを呼んで いるが、この人気に目をつけたNET・毎日・中京・KBCテレビも十月第一週からなつメロ歌手総出演による「にっぽんの歌」を登場させ、“懐メロブーム” に便乗する。(中略)
 出演する歌手は「ディック・ミネ、東海林太郎、渡辺はま子ら“なつメロ歌手を総ナメ”(スタッフ)する」。一方で、なつメロを歌って受けている鶴田浩 二、盛信一、水前寺清子、藤圭子など人気歌手も出演させることになっている。(「第3の“なつメロ”番組が登場――加東大介、山東昭子司会で『にっぽんの 歌』」,『週刊TVガイド』昭和46(1971)年10月1日号,p.19)

(111)「演歌」を嫌う人の言説には、以 下のようなものがある。

 ぼくの最も嫌う旋律、それは、よくいうところの艶歌調であり流行歌調であり、えてして日本調五声音階(=ヨナ抜き音階)による 旋律なのであるが、その旋律を生かすもっとも効果的な歌詞は、言うまでもなく、日本独特の歌謡調的ボキャブラリーなのだ。即ち「涙、灯台、港、マドロス、 夜霧、濡れる、泣く、情け、男、女、うるむ、眸、悲し」などの類である。こうした名詞や動詞の密着する旋律は、例外なく艶歌調であり、五声音階による陽か 陰かのどちらかの旋法に限られているのだ。(中略)
 「こんなメロディーを作るのは、お止めになったらいかがですか。これは、いけない悪い旋律なのです。なぜなら、この種の音階の中には毒素がいっぱいある からです。その毒というのは、人間の心を蝕ばんでしまう怖ろしい堕落や退廃や絶望や、その他、たくさんのいけない要素が、かくれているからです。(中 略)」
 この流行歌的五声音階のテーマは更に拡大して演繹的に考えるなら、長唄や常盤津その他日本古来の邦楽作品の全てが文化を毒している、というような大問題 へも発展させる可能性があるかも知れない。(〔高木(1967:pp.26-27)〕、括弧内は引用者による)
  
 戦前の歌謡曲歌手は殆ど音楽学校出身者でクラシックものと歌謡曲の二刀流使いで(例外、上原敏、田端義夫)、その発表意欲と収 入両面のメリットがレコード会社の営業政策と合致したので、これらの歌謡曲を積極的に吹込んだ。彼等は譜面が読め、正式の歌唱法で、しかも音量を巧みにコ ントロールできたので、聴衆には気持ち良く受け入れられた。
 また他の作曲家達も三者を目標に良い曲で競ったので、戦後まで好ましいこの傾向は続いたが、岡本敦郎、津村謙あたりを最後にこの流れを汲む歌謡曲存在感 は終った。その原因は三橋美智也、大人になった美空ひばり等に代表される後続の殆どの歌手がそうであるように、自己主張一辺倒の、小節を極端に利かせ、喉 をつまらせる歌唱法(いわゆる演歌唱法)が主流になりだしたからである。そして作曲家もその歌手の歌唱法に合う曲想貧困な歌だけを作曲するようになってし まった。(柴田吉之「昭和30年代初期までの歌謡曲と演歌の態様の認識」,「新・全国なつメロ愛好会」会報復刊第5号,平成15(2003)年,p.2)

(112)「なつメロ」と「演歌」を同一視 する古賀政男は、以下のように楠木繁夫ではなくて村田英雄を支持している。

 戦前のは楠木繁夫がかなり掘り下げて歌っているが所詮、背広を着た吉良常であった。浪曲出身の村田英雄が歌ったものがやくざに なっていた。学校出の楠木と浪曲出の村田と、どちらが大衆の心にくいこんだか。私は日本の大衆の心を根底から揺さぶるには、やはり日本的発声法が必要だと 思う。音楽学校での教育は外国の歌を歌うための発声法で、日本語を歌うための発声法ではないからだ。(中略)
 演歌は日本人の心の郷愁ともいえようか。やはり、義太夫、浪花節、清元、長唄、都々逸に通じるなにものかがある。そしてまた詩吟の中にも。これなど最も 日本的民族の歌といえよう。(古賀政男 1969「昭和を歌う我が涙の幾千曲――歌は世につれ、我れまた歌につれ “なつメロ”でつづる日本の心」,『潮』120,p.354)

戻る